Logo dell'Università di Catania: Siciliae Studium Generale 1434 Logo del Centro IPPARI, Sicurezza informatica
matite e gomma
Loghi istituzionali: Siciliae Studium Generale 1434, Centro ricerche IPPARI, Università di Catania, Facoltà di Scienze Matematiche, Fisiche, Naturali, Insegnamento di Sicurezza dei sistemi informatici

Controllo di accesso a risorse condivise

Lezione 15 di Sicurezza dei sistemi informatici 1

Docente: Giuseppe Scollo

Università di Catania, sede di Comiso (RG)
Facoltà di Scienze Matematiche, Fisiche e Naturali
Corso di Studi in Informatica applicata, AA 2006-7

Logo di Conformità WCAG-1 di Livello Tripla A, W3C-WAI Web Content Accessibility Guidelines 1.0 Validazione XHTML 1.0 Validazione CSS 2

Indice

  1. Controllo di accesso a risorse condivise
  2. controllo di accesso e autorizzazione
  3. modelli di autorizzazione
  4. tipi di diritti di accesso e ruoli
  5. autorizzazione e raggruppamento
  6. autorizzazione di gruppi in Zope
  7. autorizzazione nel sistema BSCW
  8. la negazione in modelli di autorizzazione
  9. autorizzazione e delega
  10. riferimenti

controllo di accesso e autorizzazione

autorizzazione, controllo di accesso, autenticazione: non sono sinonimi

più precisamente, nel controllo di accesso:

nel seguito ci occupiamo di autorizzazione

modelli di autorizzazione

modello di autorizzazione:

un'autorizzazione di accesso coinvolge tre entità:

rappresentazione elementare della definizione di autorizzazioni: matrice di Lampson

rappresentazioni ridotte (proiezioni della matrice di Lampson):

tipi di diritti di accesso e ruoli

astrazioni insiemistiche connaturate all'autorizzazione:

ambito di univocità dei nomi:

cioè:

queste astrazioni hanno vantaggi pratici:

autorizzazione e raggruppamento

la doppia stratificazione dei diritti di accesso in tipi e ruoli semplifica la gestione dell'autorizzazione in presenza di oggetti contenitori, quali ad es. le directory in un filesystem o gli spazi di lavoro in un sistema di collaborazione (l'acronimo sta per Computer Supported Collaborative Work), in quanto

oltre che soggetti individuali, è comunque utile definire gruppi di utenti come soggetti, ad es. per la condivisione di contenitori quali spazi di lavoro, di discussione, etc.

vediamo appresso due esempi di sistemi di supporto alla collaborazione in rete, con due diversi modelli di autorizzazione, entrambi basati su ACL e raggruppamento

autorizzazione di gruppi in Zope

Zope è una piattaforma open source per lo sviluppo di siti e applicazioni Web

struttura ad albero degli spazi Zope per un corso in rete

struttura ad albero degli spazi Zope per un corso in rete

autorizzazione nel sistema BSCW

l'acronimo sta per Basic Support for Coooperative Work: è un prodotto commerciale

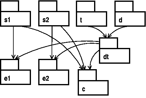
DAG: Directed Acyclic Graph, radicato negli spazi personali degli utenti

esempio di struttura DAG di spazi BSCW

esempio di struttura DAG di spazi BSCW

DAG di gruppi BSCW per un corso in rete con due classi

DAG di gruppi BSCW per un corso in rete con due classi

la negazione in modelli di autorizzazione

se un soggetto accede ad un oggetto con un solo ruolo, la definizione di quest'ultimo per l'oggetto in questione specifica i diritti di accesso del soggetto all'oggetto

ma quando, come accade ad esempio in DAG di oggetti e contenitori con eredità di ruoli, un soggetto può accedere a un oggetto con più ruoli, come determinano questi i diritti di accesso del soggetto all'oggetto?

ad es., il concetto di diritto di accesso negativo è un antidoto al potenziale eccesso di liberalità dell'autorizzazione disgiuntiva: si può interpretare l'attribuzione di un diritto di accesso con segno negativo come la negazione di tal diritto, quando si assegna il ruolo che lo contiene, indipendentemente dall'attribuzione (positiva) dello stesso diritto in altri ruoli

autorizzazione e delega

definizione di ruoli e ACL sono proprietà di oggetti: se sono considerate (come è ben lecito, in linea di principio) come oggetti esse stesse, avranno una propria ACL e definizione di ruoli... il qual fatto genera una catena infinita (di dubbia utilità) di metalivelli di autorizzazione

si può arrestare la catena al secondo livello semplicemente distinguendo fra:

e considerando le operazioni sui secondi come operazioni sull'oggetto regolare di cui sono attributi, dunque autorizzate mediante la definizione di ruoli e ACL di quest'ultimo

l'autorizzazione all'autorizzazione è un caso rilevante del concetto di delega: diritto, assegnabile a soggetti, di assegnazione di dati (tipi di) diritti ad altri soggetti

la delega può essere ricorsiva (delega alla delega): si può realizzarla semplicemente includendo il diritto all'assegnazione di ruoli a soggetti fra i diritti conferiti mediante l'assegnazione di un ruolo

riferimenti